El tema de trabajo, potencia y energía es una parte fundamental de la física y la mecánica. En esencia, estos conceptos se refieren a la cantidad de esfuerzo que se requiere para realizar una tarea determinada, la tasa a la cual se realiza esa tarea y la capacidad de un sistema para realizar trabajo.
Índice del artículo
Definición de trabajo
Si un cuerpo se desplaza una distancia d por la acción de una fuerza F, se dice que la fuerza ha realizado un trabajo, que por definición es:

Unidades de trabajo
En el sistema cegesimal (c.g.s.), en el que la unidad de fuerza es la dina, y la unidad de longitud el cm, la unidad de trabajo es el ergio.
En el Sistema Internacional de Unidades el trabajo se mide en Julios. Julio es el trabajo efectuado por la fuerza de un newton cuyo punto de aplicación se desplaza un metro en su propia dirección.
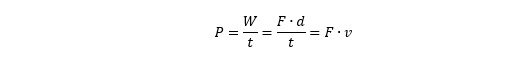
Definición de potencia
Se llama potencia de un motor al trabajo mecánico que realiza en la unidad de tiempo.

Unidades de potencia
De la fórmula anterior se deducen las unidades correspondientes:
- Vatio=Julio/segundo
- 1CV=735 vatios
- Ergio/segundo (no se suele usar)
Definición de energía
Es la facultad que tiene un cuerpo o sistema de cuerpos para producir un trabajo.
Por ejemplo, una masa de agua a cierta altura puede, al caer, hacer girar una turbina, que puede a su vez levantar pesos. Del mismo modo, un resorte tenso puede, al aflojarse, subir o lanzar un peso. Una mezcla de gasolina y de aire, al inflamarse en el cilindro de un motor, impulsa el pistón, produciendo un trabajo.
La energía de un cuerpo se mide por el trabajo que puede efectuar, y, por tanto, se expresa en ergios, julios y kilopondiometros.
Formas de energía
En nuestro blog tenemos un artículo sobre tipos de energía.
Las formas de energía son numerosas: mecánica, calorífica, nuclear, química, etc. Pero estas diversas formas de energía pueden transformarse unas en otras.
Energía mecánica
La energía mecánica es aquella que corresponde a un trabajo producido por fuerzas de origen mecánico, como la fuerza elástica de un resorte o de un gas; también la energía debida al movimiento de un cuerpo. Consta de dos formas:
- Energía potencial. Es la energía que posee un cuerpo en virtud de su posición o condición. Un cuerpo que está a una altura h y tiene una masa m posee una energía potencial.

- Energía cinética. Es la que tiene un cuerpo en movimiento.

Unidades de energía
La energía se puede medir y se mide en julios (J) según el Sistema Internacional de Unidades.
👉Consulta nuestras academias:





Muchas gracias por la información
Es una aplicación que ayuda y además da las respuestas exactas muchas gracias
Gracias a ti.